VILLAGE OF HIXTON, WISCONSIN

A great place to live, work and play!

Menu

Skip to content
  • Home
  • About Us
  • Budget
  • Elections
  • Hixton Past
  • License Applications
  • Maps
  • Meeting Agendas and Minutes
  • News & Events
    • District Operator of the Year Award
  • Newsletter
  • Ordinances
  • Utility & Payments
  • Village Views
    • Businesses
    • Play

Meeting Agendas and Minutes

MONTHLY BOARD MEETINGS ARE HELD THE 3RD MONDAY OF EACH MONTH STARTING AT 5:00 P.M.

(EXCEPT APRIL, WHICH IS HELD ON THE 3RD TUESDAY OF THE MONTH AT 5:00 P.M.)

july minutesDownload
TIF Agenda 2025Download
june agendaDownload
may minutesDownload
may agendaDownload
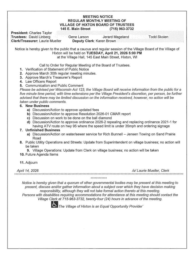
april minutesDownload
april agendaDownload
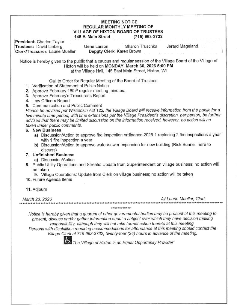
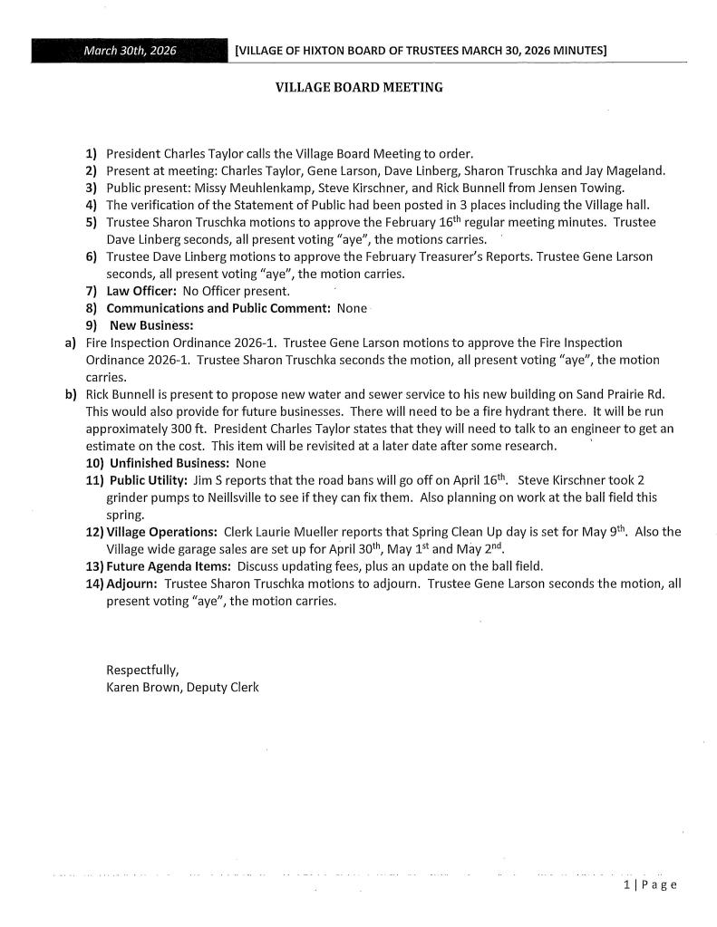
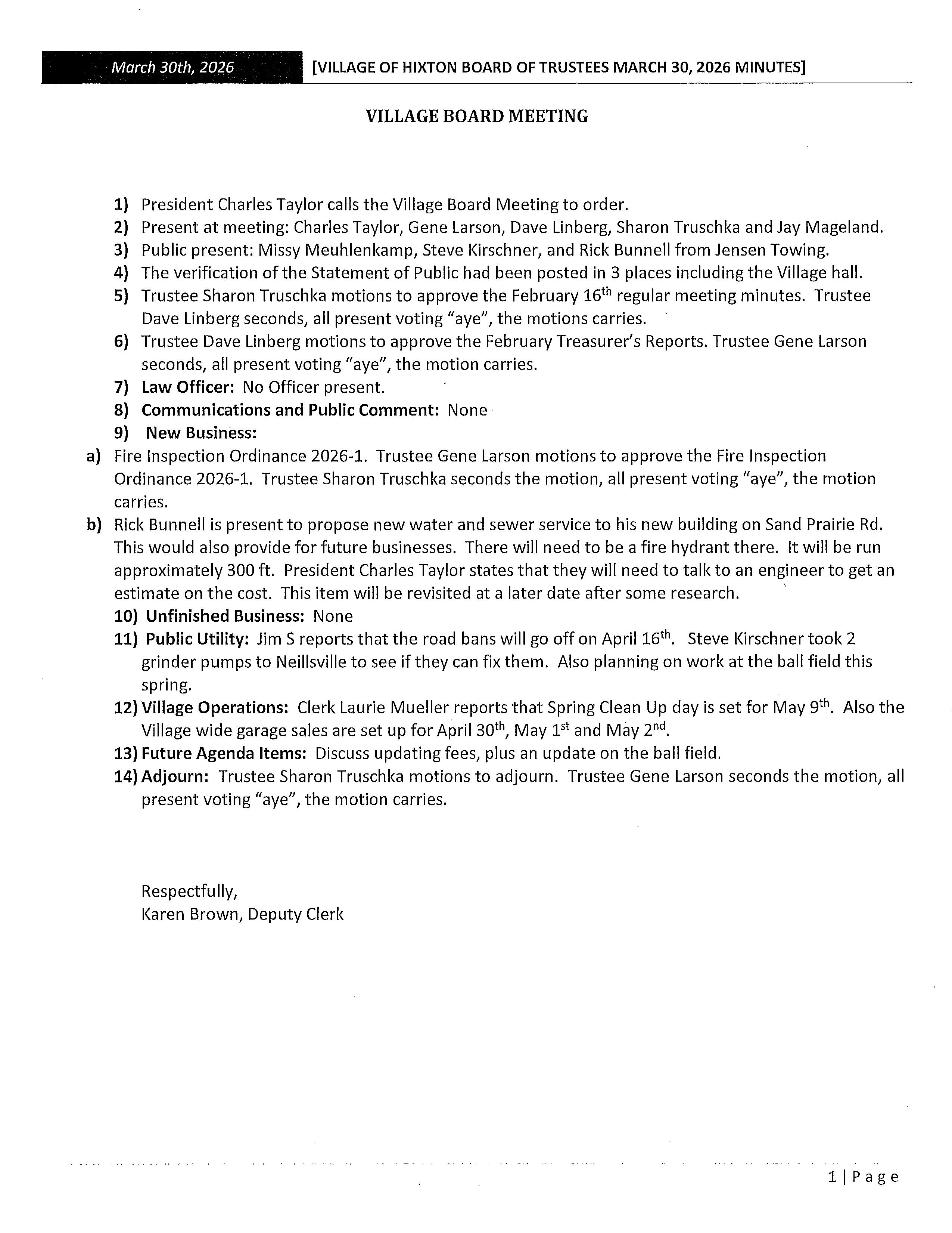
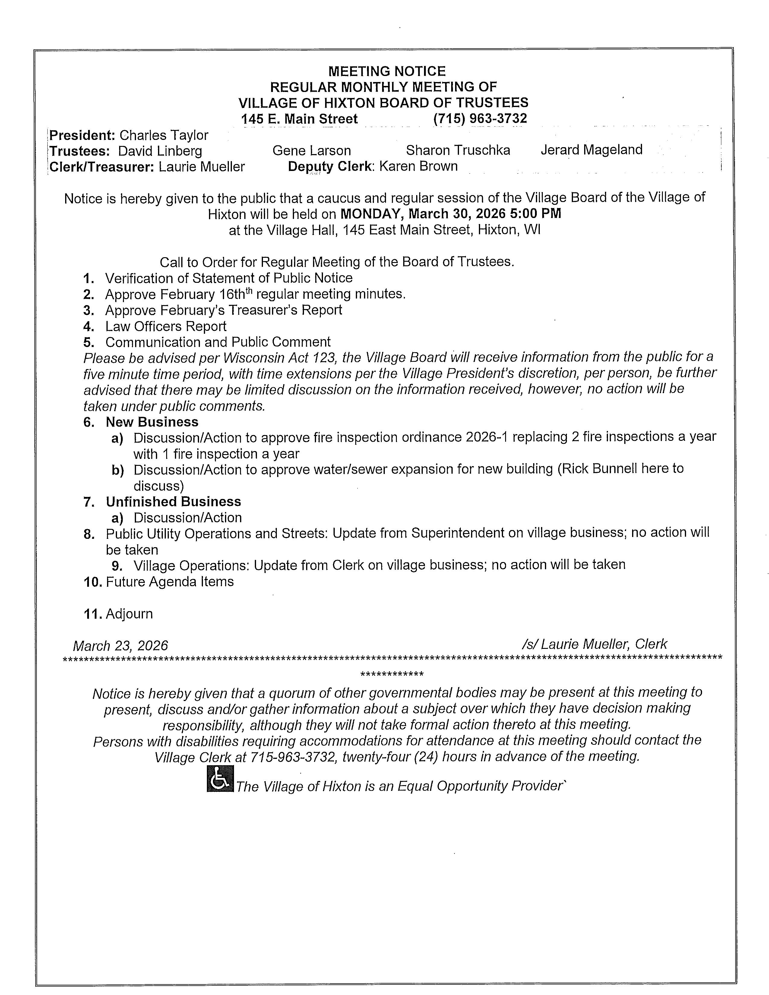
march minutesDownload
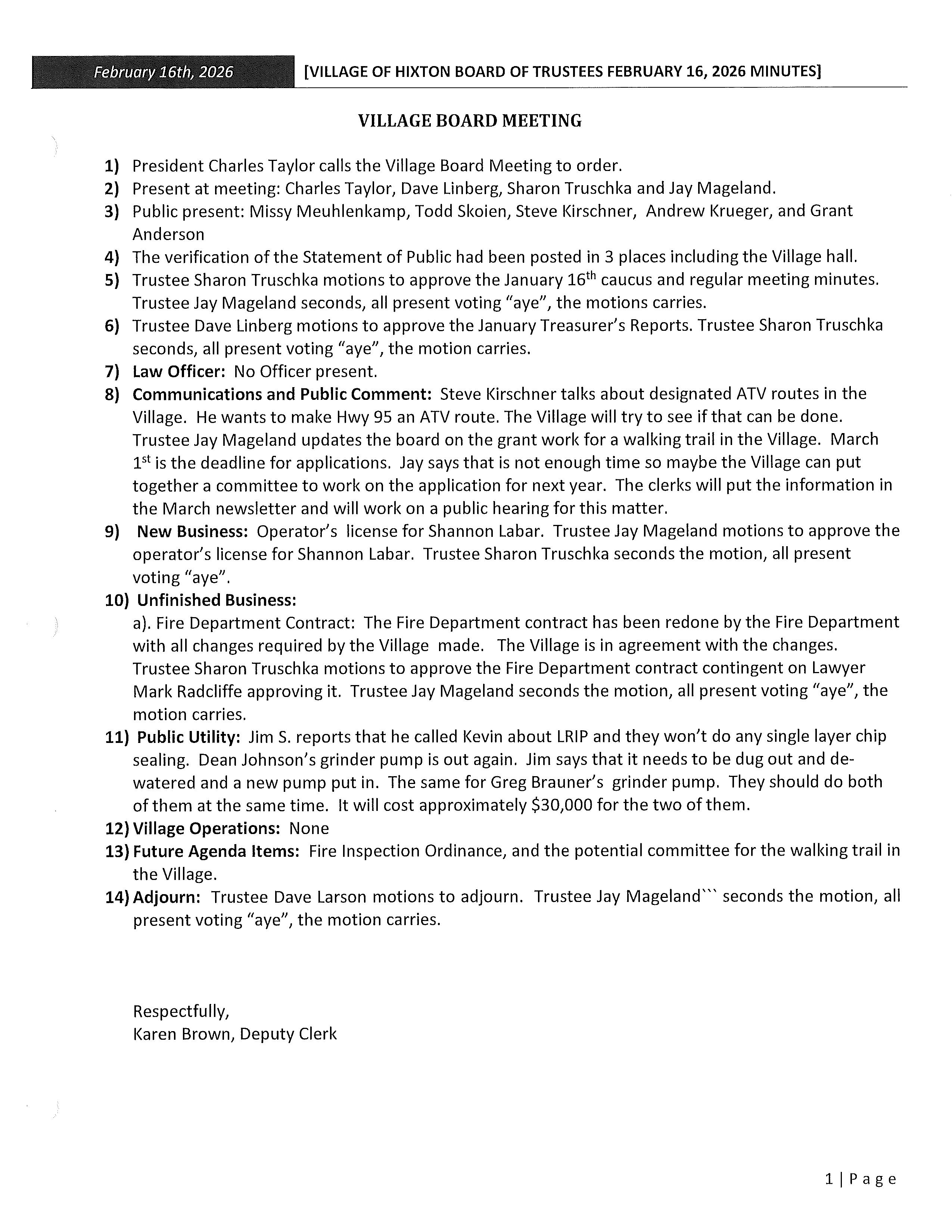
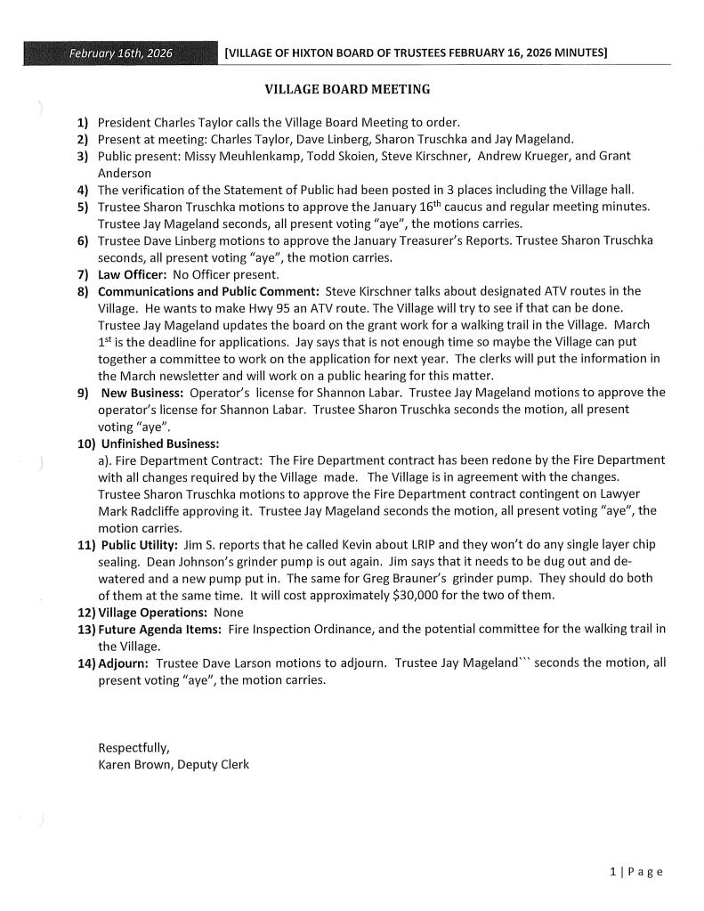
february minutesDownload
february agendaDownload
january minutesDownload
january agendaDownload

2025

December AgendaDownload
November 2024 AgendaDownload
October 2024 AgendaDownload
September 2024 AgendaDownload
August 2024 AgendaDownload
July 2024 AgendaDownload
June 2024 AgendaDownload
May 2024 AgendaDownload
April 2024 AgendaDownload
March 2024 AgendaDownload
February 2024 AgendaDownload
January 2024 AgendaDownload
Like Loading...
Blog at WordPress.com.
  • Subscribe Subscribed
    • VILLAGE OF HIXTON, WISCONSIN
    • Already have a WordPress.com account? Log in now.
    • VILLAGE OF HIXTON, WISCONSIN
    • Subscribe Subscribed
    • Sign up
    • Log in
    • Copy shortlink
    • Report this content
    • View post in Reader
    • Manage subscriptions
    • Collapse this bar
 

Loading Comments...
 

    %d